积分求解方法扩展-利用分部积分法延申出的表格法

最近需要求积分的地方越来越多了,比如数学物理方程和信号与系统。天下苦微积分久矣,因此想找一些简单的方法进行求解,就看中了由分部积分法延申出的表格法。这是张宇老师所讲的一种方法。
一、分部积分法
要介绍的表格法是由分部积分法延申而来,那么我就浅浅的提一下分部积分法。
分部积分法是微积分学中的一类重要的、基本的计算积分的方法。它是由微分的乘法法则和微积分基本定理推导而来的。它的主要原理是将不易直接求结果的积分形式,转化为等价的易求出结果的积分形式的。常用的分部积分的根据组成被积函数的基本函数类型,将分部积分的顺序整理为口诀:反对幂指三。分别代指五类基本函数:反三角函数、对数函数、幂函数、指数函数、三角函数的积分。
上述表明在出现以下两种情况下我们选择分部积分法进行积分求解:① 出现了不同类型函数乘积的时候;② 求复杂但是简单;
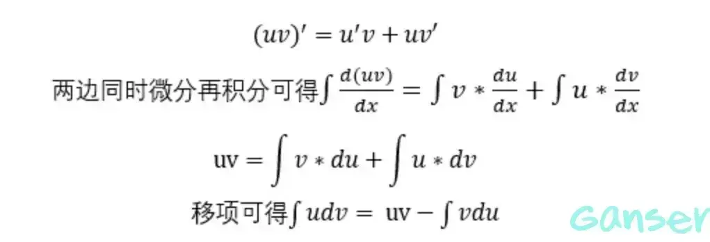
其公式推导如下
反对幂指三也是分部积分法选取的口诀,大家高数都学过,这里不做介绍。
二、表格法
利用以上推导出的分部积分法的结果,推导表格法
借此得出计算方法:以作起点左上、右下错位相乘,各项符号+、-相间,最后一项为
网友总结:交叉相乘,起点为正,正负相间,最后+C
那么求导的函数什么时候可以停止呢?
我也不清楚,看总结的大抵上都是说求导为0时、像这样求导会重复的项重复了就不要求了,求导变复杂了也不要求了,就是这样。
通过实际例题发现,其实只要最后一列的乘积的积分我们能够求解出来即可
三、例题
本博客所有文章除特别声明外,均采用 CC BY-NC-SA 4.0 许可协议。转载请注明来自 GanSer!
评论
匿名评论
✅ 你无需删除空行,直接评论以获取最佳展示效果



















